霍夫曼树
树的带权路径长度
设二叉树具有 \(n\) 个带权叶结点,从根结点到各叶结点的路径长度与相应叶节点权值的乘积之和称为 树的带权路径长度(Weighted Path Length of Tree,WPL)。
设 \(w_i\) 为二叉树第 \(i\) 个叶结点的权值,\(l_i\) 为从根结点到第 \(i\) 个叶结点的路径长度,则 WPL 计算公式如下:
\[
WPL=\sum_{i=1}^nw_il_i
\]

如上图所示,其 WPL 计算过程与结果如下:
\[
WPL=2*2+3*2+4*2+7*2=4+6+8+14=32
\]
结构
对于给定一组具有确定权值的叶结点,可以构造出不同的二叉树,其中,WPL 最小的二叉树 称为 霍夫曼树(Huffman Tree)。
对于霍夫曼树来说,其叶结点权值越小,离根越远,叶结点权值越大,离根越近,此外其仅有叶结点的度为 \(0\),其他结点度均为 \(2\)。
霍夫曼算法
霍夫曼算法用于构造一棵霍夫曼树,算法步骤如下:
- 初始化:由给定的 \(n\) 个权值构造 \(n\) 棵只有一个根节点的二叉树,得到一个二叉树集合 \(F\)。
- 选取与合并:从二叉树集合 \(F\) 中选取根节点权值 最小的两棵 二叉树分别作为左右子树构造一棵新的二叉树,这棵新二叉树的根节点的权值为其左、右子树根结点的权值和。
- 删除与加入:从 \(F\) 中删除作为左、右子树的两棵二叉树,并将新建立的二叉树加入到 \(F\) 中。
- 重复 2、3 步,当集合中只剩下一棵二叉树时,这棵二叉树就是霍夫曼树。

霍夫曼编码
在进行程序设计时,通常给每一个字符标记一个单独的代码来表示一组字符,即 编码。
在进行二进制编码时,假设所有的代码都等长,那么表示 \(n\) 个不同的字符需要 \(\left \lceil \log_2 n \right \rceil\) 位,称为 等长编码。
如果每个字符的 使用频率相等,那么等长编码无疑是空间效率最高的编码方法,而如果字符出现的频率不同,则可以让频率高的字符采用尽可能短的编码,频率低的字符采用尽可能长的编码,来构造出一种 不等长编码,从而获得更好的空间效率。
在设计不等长编码时,要考虑解码的唯一性,如果一组编码中任一编码都不是其他任何一个编码的前缀,那么称这组编码为 前缀编码,其保证了编码被解码时的唯一性。
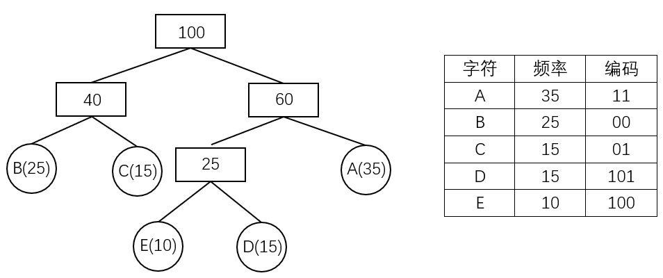
霍夫曼树可用于构造 最短的前缀编码,即 霍夫曼编码(Huffman Code),其构造步骤如下:
- 设需要编码的字符集为:\(d_1,d_2,\dots,d_n\),他们在字符串中出现的频率为:\(w_1,w_2,\dots,w_n\)。
- 以 \(d_1,d_2,\dots,d_n\) 作为叶结点,\(w_1,w_2,\dots,w_n\) 作为叶结点的权值,构造一棵霍夫曼树。
- 规定哈夫曼编码树的左分支代表 \(0\),右分支代表 \(1\),则从根结点到每个叶结点所经过的路径组成的 \(0\)、\(1\) 序列即为该叶结点对应字符的编码。

示例代码
霍夫曼树的构建
1
2
3
4
5
6
7
8
9
10
11
12
13
14
15
16
17
18
19
20
21
22
23
24
25
26
27
28
29
30
31
32
33
34
35
36
37
38
39
40
41
42
43
44
45
46
47
48
49
50
51 | typedef struct HNode {
int weight;
HNode *lchild, *rchild;
} * Htree;
Htree createHuffmanTree(int arr[], int n) {
Htree forest[N];
Htree root = NULL;
for (int i = 0; i < n; i++) { // 将所有点存入森林
Htree temp;
temp = (Htree)malloc(sizeof(HNode));
temp->weight = arr[i];
temp->lchild = temp->rchild = NULL;
forest[i] = temp;
}
for (int i = 1; i < n; i++) { // n-1 次循环建哈夫曼树
int minn = -1, minnSub; // minn 为最小值树根下标,minnsub 为次小值树根下标
for (int j = 0; j < n; j++) {
if (forest[j] != NULL && minn == -1) {
minn = j;
continue;
}
if (forest[j] != NULL) {
minnSub = j;
break;
}
}
for (int j = minnSub; j < n; j++) { // 根据 minn 与 minnSub 赋值
if (forest[j] != NULL) {
if (forest[j]->weight < forest[minn]->weight) {
minnSub = minn;
minn = j;
} else if (forest[j]->weight < forest[minnSub]->weight) {
minnSub = j;
}
}
}
// 建新树
root = (Htree)malloc(sizeof(HNode));
root->weight = forest[minn]->weight + forest[minnSub]->weight;
root->lchild = forest[minn];
root->rchild = forest[minnSub];
forest[minn] = root; // 指向新树的指针赋给 minn 位置
forest[minnSub] = NULL; // minnSub 位置为空
}
return root;
}
|
计算构成霍夫曼树的 WPL
1
2
3
4
5
6
7
8
9
10
11
12
13
14
15
16
17
18 | typedef struct HNode {
int weight;
HNode *lchild, *rchild;
} * Htree;
int getWPL(Htree root, int len) { // 递归实现,对于已经建好的霍夫曼树,求 WPL
if (root == NULL)
return 0;
else {
if (root->lchild == NULL && root->rchild == NULL) // 叶节点
return root->weight * len;
else {
int left = getWPL(root->lchild, len + 1);
int right = getWPL(root->rchild, len + 1);
return left + right;
}
}
}
|
对于未建好的霍夫曼树,直接求其 WPL
1
2
3
4
5
6
7
8
9
10
11
12
13
14
15
16 | int getWPL(int arr[], int n) { // 对于未建好的霍夫曼树,直接求其 WPL
priority_queue<int, vector<int>, greater<int>> huffman; // 小根堆
for (int i = 0; i < n; i++) huffman.push(arr[i]);
int res = 0;
for (int i = 0; i < n - 1; i++) {
int x = huffman.top();
huffman.pop();
int y = huffman.top();
huffman.pop();
int temp = x + y;
res += temp;
huffman.push(temp);
}
return res;
}
|
对于给定序列,计算霍夫曼编码
1
2
3
4
5
6
7
8
9
10
11
12
13
14
15
16
17
18
19 | typedef struct HNode {
int weight;
HNode *lchild, *rchild;
} * Htree;
void huffmanCoding(Htree root, int len, int arr[]) { // 计算霍夫曼编码
if (root != NULL) {
if (root->lchild == NULL && root->rchild == NULL) {
printf("结点为 %d 的字符的编码为: ", root->weight);
for (int i = 0; i < len; i++) printf("%d", arr[i]);
printf("\n");
} else {
arr[len] = 0;
huffmanCoding(root->lchild, len + 1, arr);
arr[len] = 1;
huffmanCoding(root->rchild, len + 1, arr);
}
}
}
|